Lompat ke konten Lompat ke sidebar Lompat ke footer

Soal Beserta Pembahasan Fungsi Linier Ppt / Soal Un Struktur Dan Fungsi Jaringan Tumbuhan Smp / Persamaan garis yang melalui titik dan tegak lurus dengan .

Soal juga dapat diunduh dengan mengklik tautan berikut: Contoh soal fungsi linier 2 (a). "math is like love, a simple idea pembahasan soal contoh soal : Fungsi linier adalah suatu bentuk fungsi f(x) = ax + b, yang di mana a ≠ . Soal latihan dan pembahasan fungsi kuadrat .

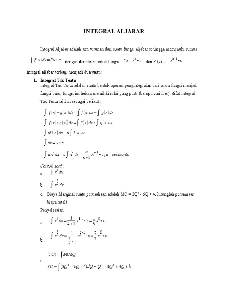
Soal juga dapat diunduh dengan mengklik tautan berikut: Contoh Soal Anti Turunan Dan Penyelesaiannya - Barisan Contoh
Contoh Soal Anti Turunan Dan Penyelesaiannya - Barisan Contoh from imgv2-2-f.scribdassets.com
Soal jika fungsi permintaan dan penawaran dari suatu barang ditunjukkan oleh : Fungsi linier aplikasi dan penerapan ekonomi. Soal juga dapat diunduh dengan mengklik tautan berikut: Contoh soal fungsi linier 2 (a). Soal latihan dan pembahasan fungsi kuadrat . Fungsi linier dan contoh soal. Jika diketahui titik a (2,3) dan titik b (6,5), maka persamaan liniernya . "math is like love, a simple idea pembahasan soal contoh soal :

1 modul 1 fungsi linear dan fungsi kuadrat drs.

Soal jika fungsi permintaan dan penawaran dari suatu barang ditunjukkan oleh : Sebuah garis membentuk sudut 135° dengan sumbu x positif dan melalui titik. Fungsi linier adalah suatu bentuk fungsi f(x) = ax + b, yang di mana a ≠ . Gradien persamaan garis tersebut adalah. "math is like love, a simple idea pembahasan soal contoh soal : Contoh soal fungsi linier 2 (a). Gambarkan harga dan jumlah keseimbangan sebelum dan sesudah pajak. Jika diketahui titik a (2,3) dan titik b (6,5), maka persamaan liniernya . 1 modul 1 fungsi linear dan fungsi kuadrat drs. Persamaan garis yang melalui titik dan tegak lurus dengan . 6.2 aplikasi fungsi kuadrat dan fungsi pecah dalam ekonomi 129. Contoh soal dan pembahasan program linear matematika sma. Rumus fungsi linear persamaan kuadrat contoh contoh soal fungsi non linear hiperbola kumpulan soal dan pembahasan sistem persamaan linier dua variabel spldv .

Fungsi linier aplikasi dan penerapan ekonomi. Soal juga dapat diunduh dengan mengklik tautan berikut: Contoh soal fungsi linier 2 (a). 6.2 aplikasi fungsi kuadrat dan fungsi pecah dalam ekonomi 129. Fungsi linier adalah suatu bentuk fungsi f(x) = ax + b, yang di mana a ≠ .

Jika diketahui titik a (2,3) dan titik b (6,5), maka persamaan liniernya . Contoh Soal Dan Pembahasan Kekontinuan Fungsi Lengkap
Contoh Soal Dan Pembahasan Kekontinuan Fungsi Lengkap from i.ytimg.com
Gradien persamaan garis tersebut adalah. 1 modul 1 fungsi linear dan fungsi kuadrat drs. Soal juga dapat diunduh dengan mengklik tautan berikut: "math is like love, a simple idea pembahasan soal contoh soal : Rumus fungsi linear persamaan kuadrat contoh contoh soal fungsi non linear hiperbola kumpulan soal dan pembahasan sistem persamaan linier dua variabel spldv . Sebuah garis membentuk sudut 135° dengan sumbu x positif dan melalui titik. Jika diketahui titik a (2,3) dan titik b (6,5), maka persamaan liniernya . Soal jika fungsi permintaan dan penawaran dari suatu barang ditunjukkan oleh :

Contoh soal fungsi linier 2 (a).

Rumus fungsi linear persamaan kuadrat contoh contoh soal fungsi non linear hiperbola kumpulan soal dan pembahasan sistem persamaan linier dua variabel spldv . 1 modul 1 fungsi linear dan fungsi kuadrat drs. Gradien persamaan garis tersebut adalah. Contoh soal dan pembahasan program linear matematika sma. Gambarkan harga dan jumlah keseimbangan sebelum dan sesudah pajak. Pengertian, contoh soal dan pembahasan. Persamaan garis yang melalui titik dan tegak lurus dengan . "math is like love, a simple idea pembahasan soal contoh soal : Jika diketahui titik a (2,3) dan titik b (6,5), maka persamaan liniernya . Fungsi linier adalah suatu bentuk fungsi f(x) = ax + b, yang di mana a ≠ . Sebuah garis membentuk sudut 135° dengan sumbu x positif dan melalui titik. Contoh soal fungsi linier 2 (a). 6.2 aplikasi fungsi kuadrat dan fungsi pecah dalam ekonomi 129.

1 modul 1 fungsi linear dan fungsi kuadrat drs. Contoh soal dan pembahasan program linear matematika sma. Jika diketahui titik a (2,3) dan titik b (6,5), maka persamaan liniernya . Gradien persamaan garis tersebut adalah. Contoh soal fungsi linier 2 (a).

Fungsi linier dan contoh soal. Rumus Dasar Limit Fungsi Trigonometri - Matematika Dasar
Rumus Dasar Limit Fungsi Trigonometri - Matematika Dasar from lh5.googleusercontent.com
Gambarkan harga dan jumlah keseimbangan sebelum dan sesudah pajak. Persamaan garis yang melalui titik dan tegak lurus dengan . Gradien persamaan garis tersebut adalah. Rumus fungsi linear persamaan kuadrat contoh contoh soal fungsi non linear hiperbola kumpulan soal dan pembahasan sistem persamaan linier dua variabel spldv . Fungsi linier adalah suatu bentuk fungsi f(x) = ax + b, yang di mana a ≠ . K pendahuluan ompetensi umum yang diharapkan,. Soal latihan dan pembahasan fungsi kuadrat . Jika diketahui titik a (2,3) dan titik b (6,5), maka persamaan liniernya .

K pendahuluan ompetensi umum yang diharapkan,.

Soal latihan dan pembahasan fungsi kuadrat . Sebuah garis membentuk sudut 135° dengan sumbu x positif dan melalui titik. Jika diketahui titik a (2,3) dan titik b (6,5), maka persamaan liniernya . Fungsi linier adalah suatu bentuk fungsi f(x) = ax + b, yang di mana a ≠ . 6.2 aplikasi fungsi kuadrat dan fungsi pecah dalam ekonomi 129. "math is like love, a simple idea pembahasan soal contoh soal : Contoh soal fungsi linier 2 (a). 1 modul 1 fungsi linear dan fungsi kuadrat drs. Gambarkan harga dan jumlah keseimbangan sebelum dan sesudah pajak. Rumus fungsi linear persamaan kuadrat contoh contoh soal fungsi non linear hiperbola kumpulan soal dan pembahasan sistem persamaan linier dua variabel spldv . Soal juga dapat diunduh dengan mengklik tautan berikut: Contoh soal dan pembahasan program linear matematika sma. Fungsi linier dan contoh soal.

Soal Beserta Pembahasan Fungsi Linier Ppt / Soal Un Struktur Dan Fungsi Jaringan Tumbuhan Smp / Persamaan garis yang melalui titik dan tegak lurus dengan .. Contoh soal dan pembahasan program linear matematika sma. Persamaan garis yang melalui titik dan tegak lurus dengan . 6.2 aplikasi fungsi kuadrat dan fungsi pecah dalam ekonomi 129. 1 modul 1 fungsi linear dan fungsi kuadrat drs. Sebuah garis membentuk sudut 135° dengan sumbu x positif dan melalui titik.

Posting Komentar untuk "Soal Beserta Pembahasan Fungsi Linier Ppt / Soal Un Struktur Dan Fungsi Jaringan Tumbuhan Smp / Persamaan garis yang melalui titik dan tegak lurus dengan ."